关于2025届毕业生获得大学生体质健康测试优良等级证书名单的公示
各二级学院、各位辅导员:
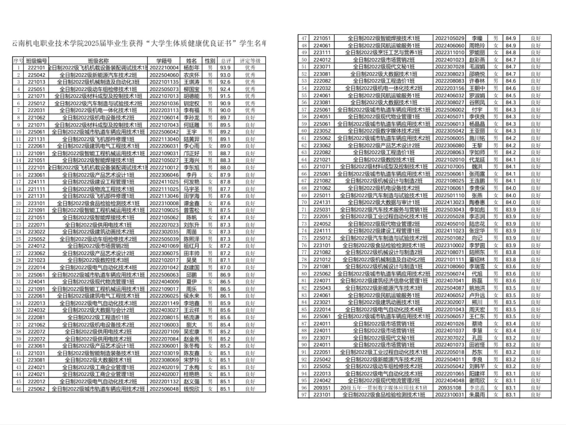
为深入贯彻《云南省学校体育综合改革试点高校重点任务清单》和《云南省教育厅关于实施好高等学校党委书记颁发大学生体质健康优良证书制度的通知》等文件精神,根据《国家学生体质健康标准(2014年修订)》及我校《小狐狸在线学生体质测试工作管理办法》的相关要求,我校积极推行“大学生体质健康优良证书”制度。经过综合评定,有280名学生达到体质测试优良等级标准,现予以公示。公示日期从2025年3月17日起,至2025年3月21日,为期5个工作日。
公示期间,若对名单存在疑问或异议,请及时与体育部张程波老师联系,联系电话:15969493413。
小狐狸在线
体育部
2025年3月17日



终审:王福才

账号+密码登录
手机+密码登录
还没有账号?
立即注册